CSE 16: Applied Discrete Mathematics
Instructor: Owen Arden
Winter 2023
Example: Suppose \(C\) is the set of colleges on campus and \(S\) is the set of students. The relation \(A \subseteq S \times C\) indicates whether a student \(s \in S\) is affiliated with a college \(c \in C\).
It is often useful to define universal properties of the elements in a relation.
Examples?
Is “relative of” symmetric?
Is \(<\) symmetric?
Is \(=\) symmetric?
Is \(\leq\) symmetric?
Examples?
Can any relation be both symmetric and anti-symmetric?
Can any relation be neither symmetric nor anti-symmetric?
Is “parent of” anti-symmetric?
Is \(=\) anti-symmetric?
Is \(<\) anti-symmetric?
Is \(\leq\) anti-symmetric?
Other questions:
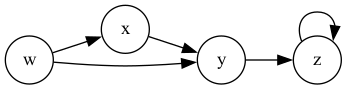
Example: \[\begin{align} V &= \{w,x,y,z\} \\ E &= \{(w,x), (x,y), (w,y), (y,z) \} \end{align}\]

Directed graphs can represent binary relations on a set \(V\)!


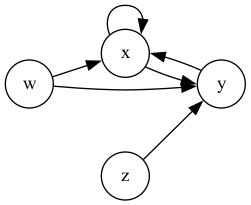
Graph power theorem: Let \(G\) be a directed graph. Let \(u\) and \(v\) be any two vertices in \(G\) There is an edge from \(u\) to \(v\) in \(G^{k}\) iff there is a walk of length \(k\) from \(u\) to \(v\) in \(G\).